Factoring greatest common factor is an essential skill in algebra that involves finding the largest common factor of two or more numbers. It is a crucial step in simplifying expressions and solving equations. To master this skill, students often practice with worksheets that provide various problems to solve. These worksheets help reinforce the concept and improve problem-solving abilities.
By working on factoring greatest common factor worksheets, students can enhance their understanding of how to identify the greatest common factor of a set of numbers. This practice allows them to become more proficient in factoring and simplifying expressions, which are fundamental skills in algebraic manipulation.
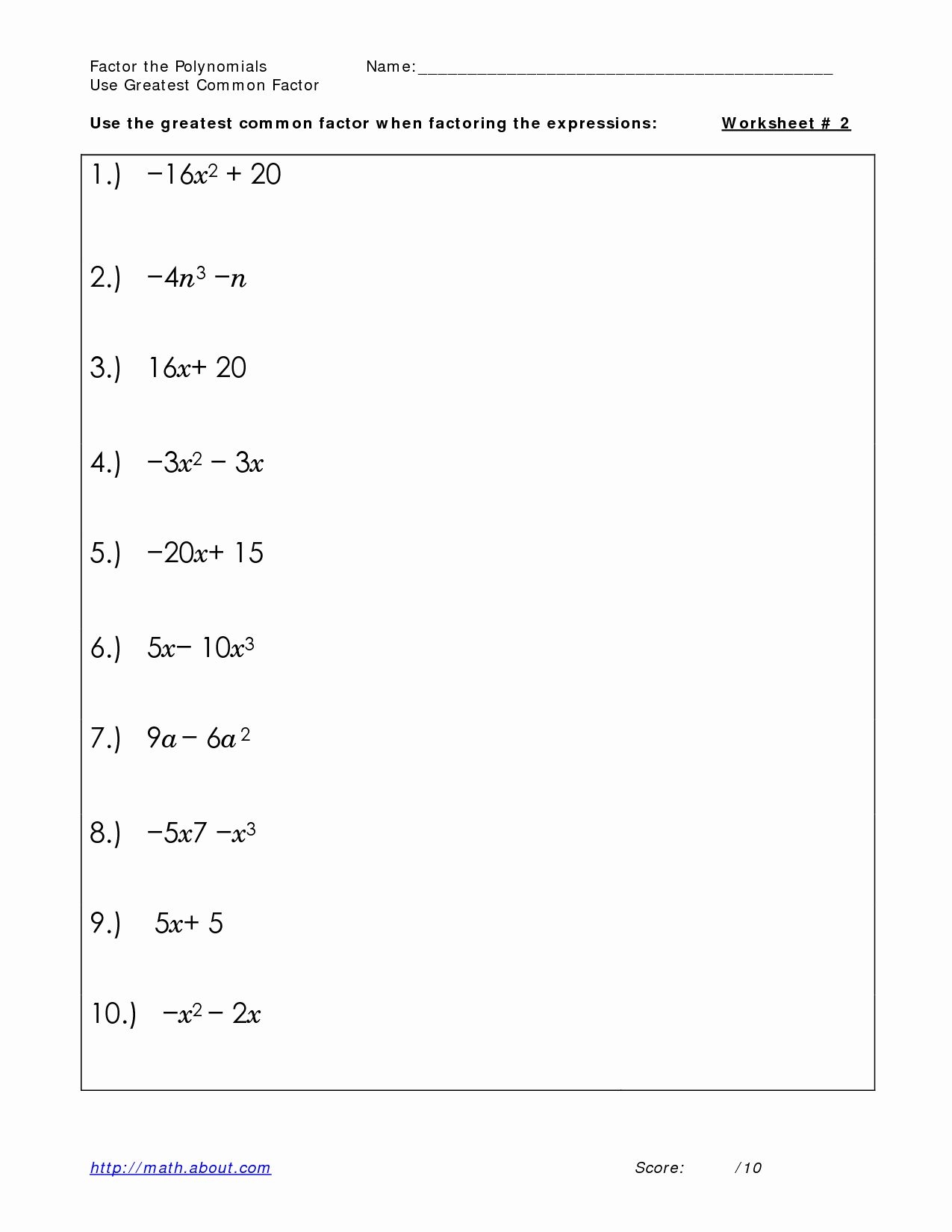
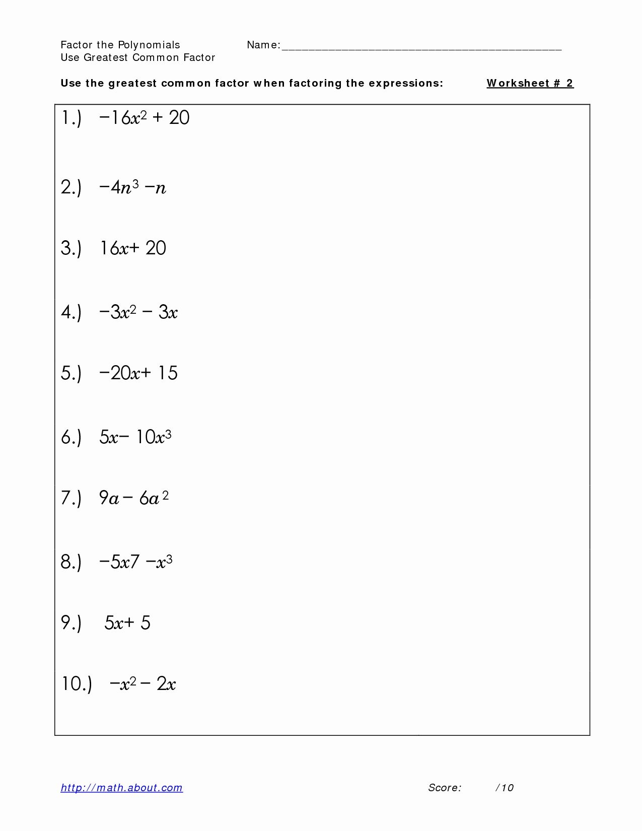
Factoring Greatest Common Factor Worksheet
Factoring greatest common factor worksheets typically consist of a series of problems that require students to find the greatest common factor of given numbers. The problems may vary in complexity, ranging from simple numbers to more challenging algebraic expressions. Students are required to apply their knowledge of factors and multiples to identify the greatest common factor of each set of numbers.
When solving these worksheets, students can use various strategies such as listing the factors of each number, finding the prime factorization, or using the division method to determine the greatest common factor. By practicing these techniques, students can develop their problem-solving skills and become more confident in factoring numbers.
Furthermore, factoring greatest common factor worksheets often include word problems that require students to apply their knowledge in real-life scenarios. These problems help students relate the concept of greatest common factor to practical situations, making the learning experience more engaging and meaningful.
Overall, working on factoring greatest common factor worksheets is an effective way for students to practice and reinforce their understanding of this essential algebraic skill. By regularly solving these problems, students can improve their ability to factor numbers, simplify expressions, and solve equations, preparing them for more advanced algebraic concepts in the future.
In conclusion, factoring greatest common factor worksheets play a vital role in helping students master the skill of finding the greatest common factor of numbers. These worksheets provide valuable practice opportunities for students to enhance their problem-solving abilities and strengthen their understanding of algebraic concepts. By consistently working on these worksheets, students can build a solid foundation in algebra and develop the confidence to tackle more complex mathematical problems.
