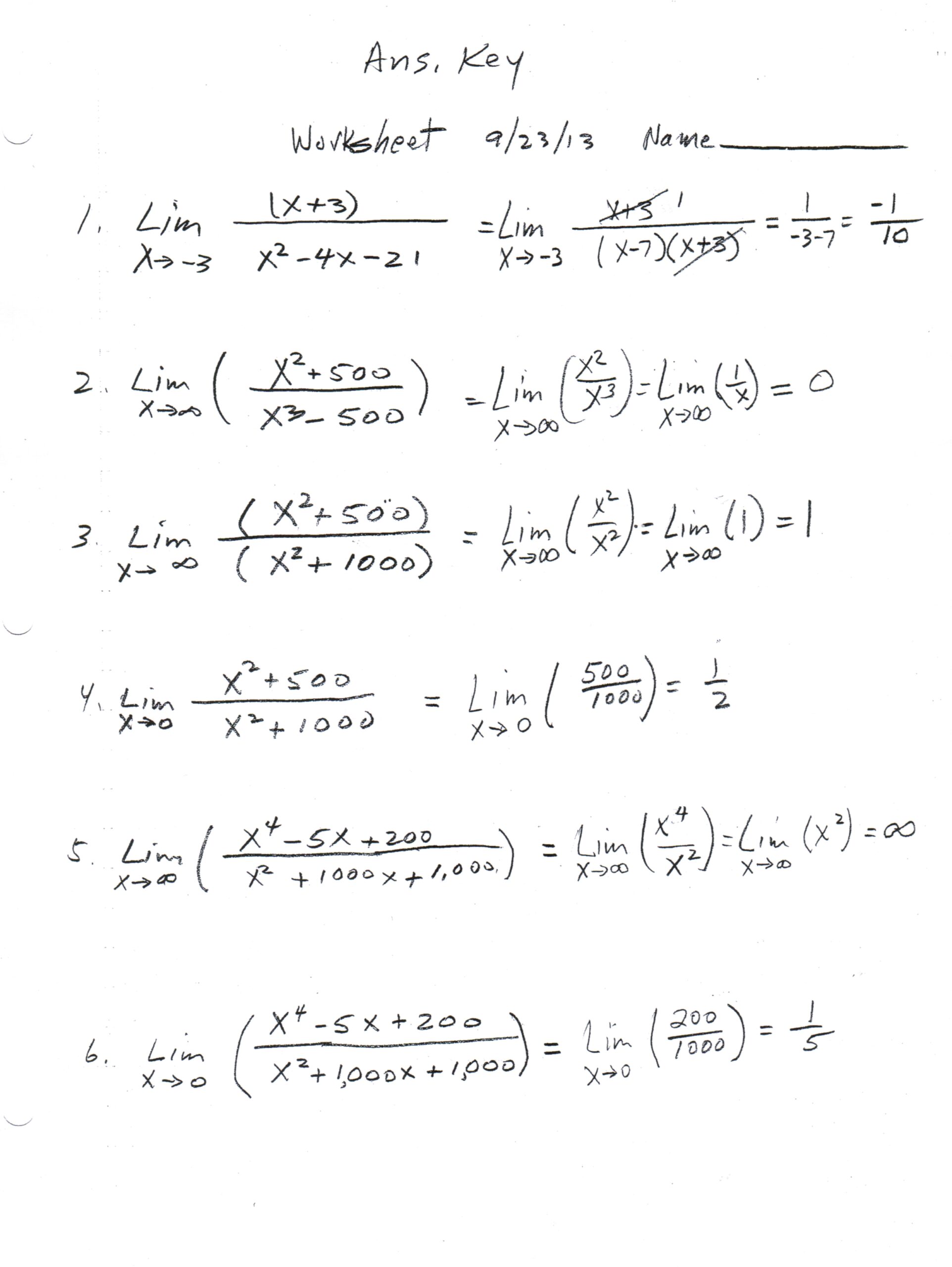
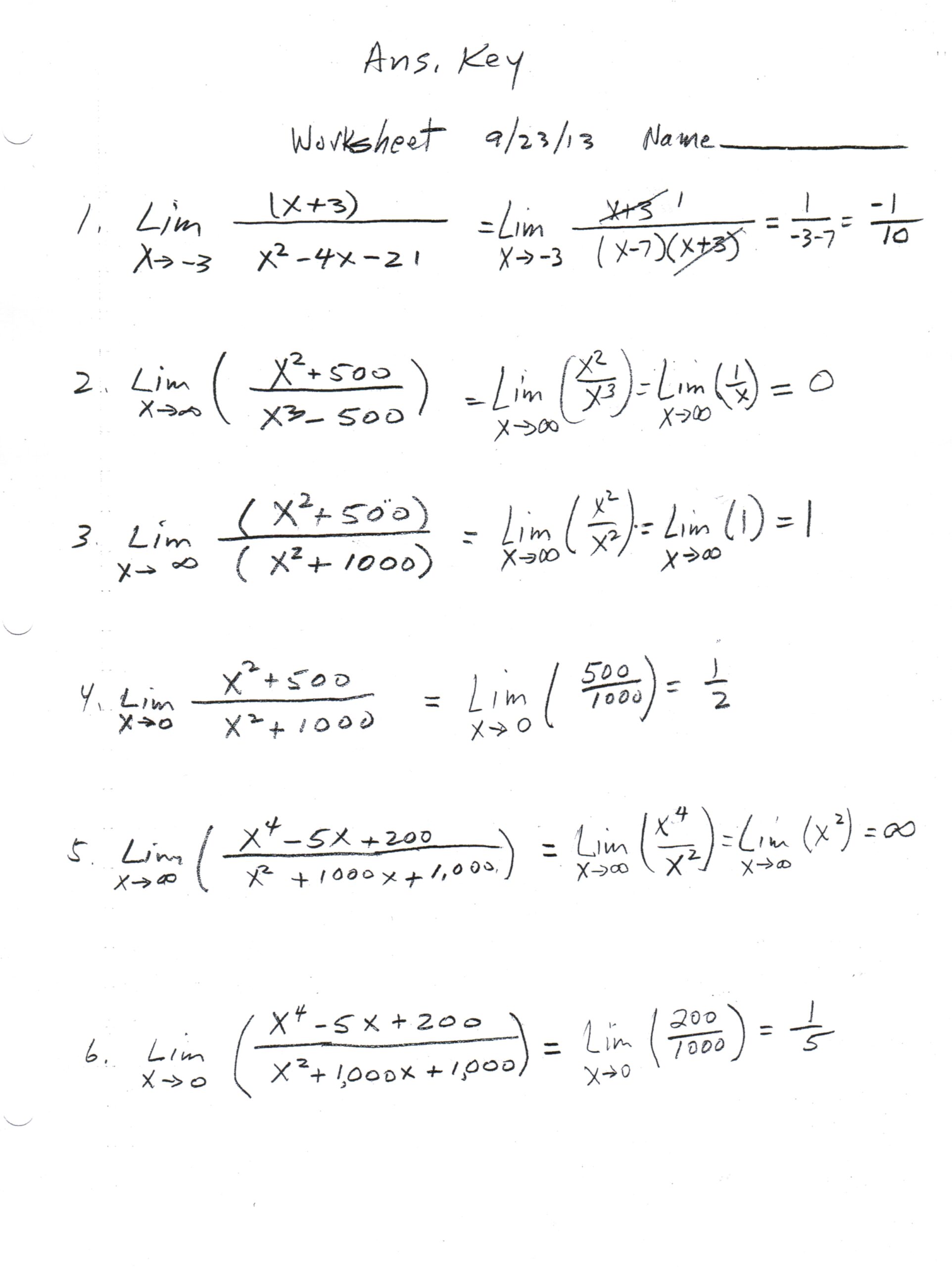
When it comes to understanding calculus, one of the fundamental concepts that students need to grasp is the concept of limits. Limits are used to describe the behavior of a function as it approaches a certain value. They are essential in determining the continuity and differentiability of functions. To practice and master the concept of limits, students often use worksheets to test their understanding and improve their skills.
A limits worksheet typically consists of a series of problems that require students to evaluate the limit of a function as it approaches a specific value. These problems can range from simple, straightforward calculations to more complex and challenging scenarios. By working through these problems, students can develop their problem-solving skills and gain a deeper understanding of the concept of limits.
Benefits of Using a Limits Worksheet
One of the main benefits of using a limits worksheet is that it provides students with the opportunity to practice and reinforce their understanding of the concept of limits. By solving a variety of problems, students can improve their ability to identify and evaluate limits, as well as develop their critical thinking and analytical skills. Additionally, working through a worksheet allows students to track their progress and identify areas where they may need additional practice or support.
Another advantage of using a limits worksheet is that it helps students prepare for exams and assessments. By regularly practicing with limits problems, students can become more confident and proficient in solving similar problems that may appear on tests. This can help alleviate test anxiety and improve overall performance in calculus courses.
Furthermore, using a limits worksheet can also be a helpful tool for teachers. Worksheets provide a structured format for assessing student understanding and progress, allowing teachers to identify areas where students may be struggling and provide targeted support and feedback. Additionally, worksheets can be used as a resource for review and reinforcement of key concepts in the classroom.
In conclusion, a limits worksheet is a valuable resource for students looking to improve their understanding of limits and excel in calculus. By practicing with a variety of problems, students can strengthen their problem-solving skills, prepare for exams, and receive valuable feedback from teachers. Whether used as a homework assignment, study guide, or assessment tool, a limits worksheet can help students master the concept of limits and achieve success in their calculus studies.
