Polynomial long division can be a challenging concept for students to grasp. It involves dividing one polynomial by another, similar to how you would divide two numbers. However, with polynomials, there are additional steps and rules to follow. One way to practice and reinforce this concept is through the use of worksheets.
A polynomial long division worksheet typically consists of a series of problems where students are asked to divide one polynomial by another. These worksheets can vary in difficulty, with some containing basic problems and others with more complex polynomials. They are a great way for students to practice their long division skills and improve their understanding of polynomials.
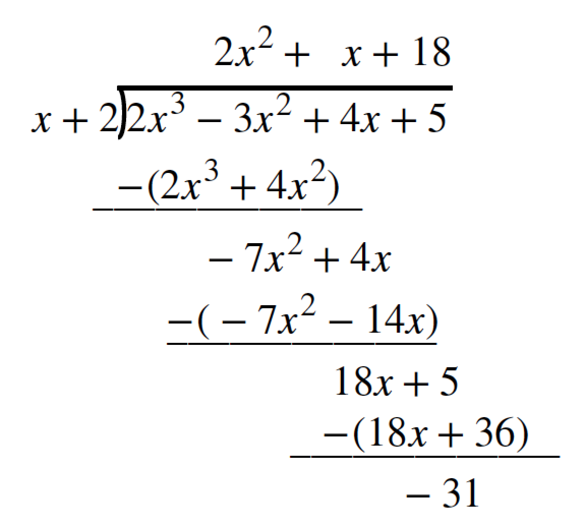
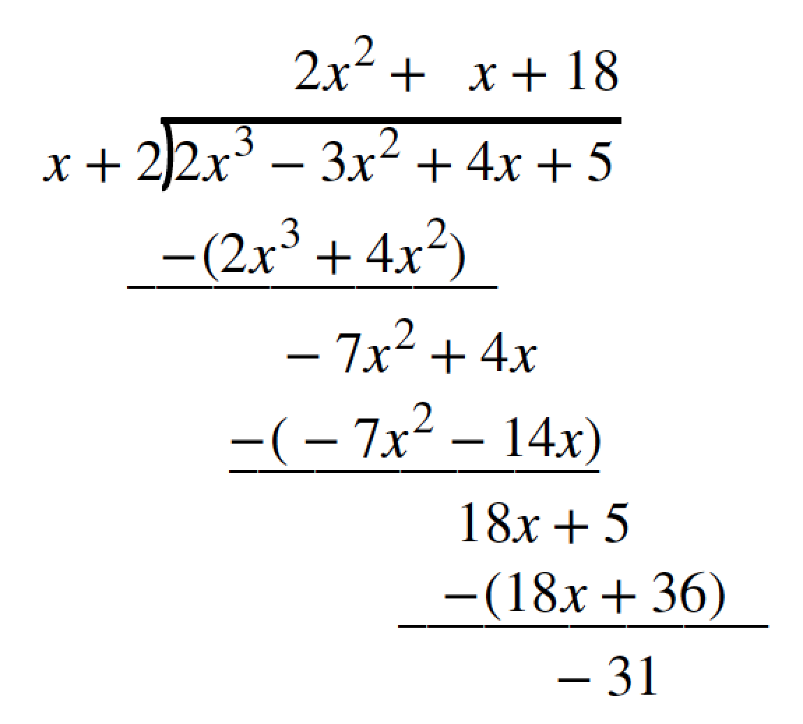
When completing a polynomial long division worksheet, students will need to remember the steps involved in the process. This includes dividing the leading term of the dividend by the leading term of the divisor, then multiplying the entire divisor by that result and subtracting it from the dividend. This process is repeated until the degree of the remainder is less than the degree of the divisor.
One helpful tip for students tackling polynomial long division is to write out each step carefully and neatly. This can help prevent errors and make it easier to follow the process. It’s also important for students to pay attention to the signs and coefficients of each term to ensure they are performing the correct operations.
Practicing polynomial long division through worksheets can help students build confidence in their math skills and improve their problem-solving abilities. By working through a variety of problems, students can become more familiar with the process and develop a deeper understanding of polynomial division.
In conclusion, polynomial long division worksheets are a valuable tool for students learning about polynomials. They provide a structured way for students to practice their long division skills and reinforce their understanding of polynomials. By working through these worksheets, students can improve their math abilities and gain confidence in their problem-solving skills.
