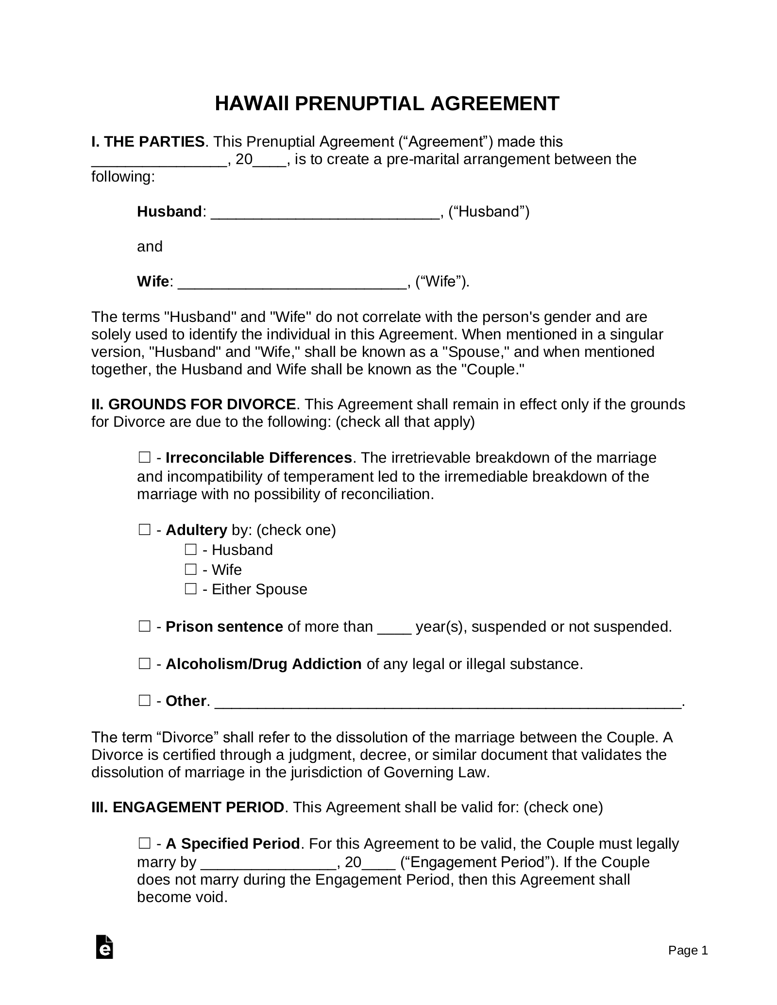
Getting married is a wonderful journey, but it’s important to consider all possibilities and protect your assets. A prenuptial agreement is a legal document that outlines how assets will be divided in the event of a divorce. It’s a great way to protect both parties and ensure a fair resolution. If you’re considering a prenuptial agreement, a printable template can make the process easier and more efficient.
A printable prenuptial agreement template is a ready-to-use document that can be customized to fit your specific needs. It typically includes sections for listing assets, debts, and how they will be divided in case of divorce. Using a template can save time and money compared to hiring a lawyer to draft an agreement from scratch.
When using a printable prenuptial agreement template, it’s important to carefully review and customize it to fit your unique situation. Make sure to include all assets, debts, and any other provisions that are important to you. It’s also a good idea to have a lawyer review the document before signing to ensure it is legally binding and covers all necessary aspects.
One of the benefits of using a printable prenuptial agreement template is that it can help facilitate open and honest communication between partners. By discussing and agreeing on how assets will be divided in advance, it can help avoid misunderstandings and conflicts down the road. It’s a proactive step that shows a commitment to transparency and fairness in the relationship.
Overall, a printable prenuptial agreement template can be a valuable tool for couples looking to protect their assets and plan for the future. It provides a structured framework for discussing important financial matters and can help ensure a smooth and fair resolution in the event of a divorce. By taking the time to create a prenuptial agreement, couples can establish clear expectations and protect their interests in the long run.
In conclusion, a printable prenuptial agreement template is a convenient and cost-effective way to create a legally binding document that protects both parties in a marriage. It can help facilitate open communication, provide peace of mind, and ensure a fair division of assets in case of a divorce. Consider using a template to streamline the process and protect your future together.
